股票、债券、另类资产是如何赚钱的?
一、现金类资产
以货币为基础的资产,这类资产代表着市场的无风险利率。无风险利率的大小由“货币的时间价值”和“通货膨胀补偿率”组成。
一般,市场的无风险利率选择一年期国债收益率,2018年以来基本在2%~3%,这也是为什么近年来货币基金也在这个收益水平的原因。

数据来源:wind、好买基金研究中心
关于一年期国债收益率,大家可以登录中国债券信息网查看(https://yield.chinabond.com.cn/cbweb-mn/yield_main)。

来源:中国债券信息网
二、债券类资产
收益主要来源于三部分:利息收入、资本利得、再投资收益。
1、利息收入,也就是俗称的“吃票息”。利息收入的高低取决于票面利率。
举个例子,某债券发行时,约定票面利率3%,每年付息一次,那么利息就是100*3%=3元(注意:在我国,债券面值通常是100元)。
一些风格偏稳健、保守的投资者很喜欢在银行买国债,他们会选择买入并持有到期,存续期内获得债券的利息收入。
2、资本利得。债券面值是固定不变的,但是债券价格会随市场变化而波动,影响债券价格的决定因素就是同类债券的市场利率。
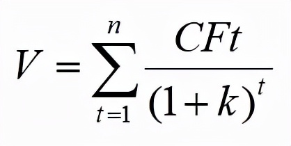
债券价格=未来能带来的期望现金流的折现价值,用公式表示就是:

CTt:每期(t)现金流;k:同类债券的收益率
根据公式可以看到,同类债券的收益率上升,贴现后的债券价格下降,反之利率下降,债券价格上升,这就是为什么我们常说债券价格和利率负相关的原因。
因为市场利率随时在变动,所以债券价格也在波动,债券买入价和卖出价的差额就是资本利得。投资者可以通过低买高卖获得这部分收益。但是,普通投资者对这部分收益其实是难以把握的,因为市场利率非常复杂,风险和收益的不确定性较大,所以我们看到债券二级市场玩的基本都是机构投资者。
普通投资者怎么获得这一收益呢?可以买入债券基金,让债券基金经理给我们打工。
3、再投资收益
指的是投资债券期间获得的利息收入,通过再投资获得的收益。这部分收益通常被大家遗忘,但其实也是债券收益来源的一种。
最后附一张债券基金历年收益率走势图,17年只有两个年份是负收益,且亏的不多,最多的年份亏3%,剩余年份都是正收益,复合年化6%。

数据来源:wind、好买基金研究中心
三、股票类资产
股票的本质是一种权益凭证,是企业所有权的一部分,这就意味着股票持有人有获取企业收益分配的权利。同时,这种权利是可以转让的,在二级市场流通,所以又具有交易属性。
相对应的,股票的收益就来源有两大点:企业内生增长的收益、投资者预期和情绪变化带来的差价利得。
企业内生增长的收益,又可以分成两部分,一部分以分红的形式回报给投资者,也就是股息率,剩下的部分继续在企业内滚存增长,这部分对应的就是盈利增长率。反应投资者预期和情绪变化的,就是估值变化。

所以,股票的收益来源,最后实质就三点:股息率、盈利增长率、估值变化。
其中,市盈率变化,代表投资者情绪,是主观的,属于投机性机会,它是导致股价在短期大幅波动的根本原因。股息率、盈利增长率,反应了企业的业绩,也就是我们常说的“基本面”,这是客观的,属于投资性机会,长期看股票收益主要取决于这部分。
最后附一张偏股混合型基金历年收益率走势图,17年4个年份是负收益,亏最多的年份是2008年,亏了将近50%,剩余13个年份平均都是赚钱的,好的年份甚至能翻倍,如果拉长时间看,复合年化15.6%,可见收益是很不错的。

数据来源:wind、好买基金研究中心
四、另类金融资产
这里主要说下大宗商品。和债券、股票不同,大宗商品没有未来现金流,其收益来自本身价格的波动。
比如黄金,它的收益来源就是黄金本身价格的上涨,除了自身价格波动外,黄金并不能像公司那样生产商品、创造价值。可以看到,近10年有4年是下跌的,最多的时候跌27.6%,而涨幅最好的年份也不过30%,近10年复合年化只有2.9%。

数据来源:wind、好买基金研究中心
五、衍生类资产
衍生类资产是在传统金融类资产的基础上衍生而来的产品,并不拥有该资产,只拥有合约单而已,主要用于投机和对冲。
衍生类资产的价值变化,和基础资产的价格波动有关,所以它的收益来源,取决于交易者对基础资产未来价格的预期、判断的准确度,预期和判断准确的情况下,行使合约获得收益。
注意,衍生类资产存在较高的杠杆效应,具有高风险特征。就拿沪铜期货来说,从1995年到现在的走势看,波动已经很大。如果算上十几倍的杠杆,波动会更大。

数据来源:wind
数据区间:1995.04~2021.12
风险提示及免责条款
市场有风险,投资需谨慎。本文不构成个人投资建议,也未考虑到个别用户特殊的投资目标、财务状况或需要。用户应考虑本文中的任何意见、观点或结论是否符合其特定状况。据此投资,责任自负。本文来自互联网用户投稿,文章观点仅代表作者本人,不代表本站立场。本站仅提供信息存储空间服务,不拥有所有权,不承担相关法律责任。如若转载,请注明出处。如若内容有涉嫌抄袭侵权/违法违规/事实不符,请点击 举报 进行投诉反馈!
