e是一个重要的常数,但是我一直不知道,它的真正含义是什么。
它不像π。大家都知道,π代表了圆的周长与直径之比3.14159,可是如果我问你,e代表了什么。你能回答吗?
维基百科说:
"e是自然对数的底数。"
但是,你去看"自然对数",得到的解释却是:
"自然对数是以e为底的对数函数,e是一个无理数,约等于2.718281828。"
这就构成了循环定义,完全没有说e是什么。数学家选择这样一个无理数作为底数,还号称这种对数很"自然",这难道不是很奇怪的事情吗?
曾经读到一篇好文章,它把这个问题解释得非常清楚,而且一看就懂。
它说,什么是e?简单说,e就是增长的极限。
下面就是它的解释。
假定有一种单细胞生物,它每过24小时分裂一次。
那么很显然,这种生物的数量,每天都会翻一倍。今天是1个,明天就是2个,后天就是4个。我们可以写出一个增长数量的公式:

上式中的x就表示天数。这种生物在x天的总数,就是2的x次方。这个式子可以被改成下面这样:

其中,1表示原有数量,100%表示单位时间内的增长率。
我们继续假定:每过12个小时,也就是分裂进行到一半的时候,新产生的那半个细胞已经可以再次分裂了。
因此,一天24个小时可以分成两个阶段,每一个阶段都在前一个阶段的基础上增长50%。

当这一天结束的时候,我们一共得到了2.25个细胞。其中,1个是原有的,1个是新生的,另外的0.25个是新生细胞分裂到一半的。
如果我们继续修改假设,这种细胞每过8小时就具备独立分裂的能力,也就是将1天分成3个阶段。

那么,最后我们就可以得到大约2.37个细胞。
很自然地,如果我们进一步设想,这种分裂是连续不断进行的,新生细胞每分每秒都具备继续分裂的能力,那么一天最多可以得到多少个细胞呢?

当n趋向无限时,这个式子的极值等于2.718281828...。

因此,当增长率为100%保持不变时,我们在单位时间内最多只能得到2.71828个细胞。数学家把这个数就称为e,它的含义是单位时间内,持续的翻倍增长所能达到的极限值。
这个值是自然增长的极限,因此以e为底的对数,就叫做自然对数。
有了这个值以后,计算银行的复利就非常容易。
假定有一家银行,每年的复利是100%,请问存入100元,一年后可以拿多少钱?

回答就是271.828元,等于100个e。
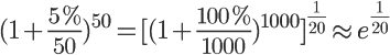
但是,实际生活中,银行的利息没有这么高,如果利息率只有5%,那么100元存一年可以拿到多少钱呢?

为了便于思考,我们取n等于50:

我们知道,在100%利息率的情况下,n=1000所得到的值非常接近e:

因此,5%利息率就相当于e的20分之一次方:

20分之一正好等于5%的利率率,所以我们可以把公式改写成:

上式的rate就代表增长率。这说明e可以用于任何增长率的计算,前提是它必须是持续不断的复合式增长。
再考虑时间因素,如果把钱在银行里存2年,可以得到多少钱?

在时间t的情况下,通用公式就是:

上式就是计算增长量的万能公式,可以适用于任何时间、任何增长率。
回到上面的例子,如果银行的利息率是5%的复利,请问100元存款翻倍需要多少时间?

计算结果是13.86年:

上式最后一个等号,表明用72除以增长率,可以得到翻倍的大致时间,这就是72法则的来源。
扩展阅读:《数学里的 e 为什么叫做自然底数?是不是自然界里什么东西恰好是 e?》(回复关键词:自然底数)
金融工程, 数学算法