为什么反恐这么难?

为什么反恐这么难?
Feb.  3rd 广州:10~17℃多云自从“ 911 事件”之后,全世界都因为恐怖组织随时可能发起的恐怖袭击而感到恐怖。许多国家派出维护正义与和平的精锐部队,希望借助强大的军事力量把恐怖组织赶出地球,就像美军在阿富汗做的那样。然而历经十多年,烧钱无数,死人无数,胜仗无数,也没有谁根除了恐怖组织。为什么恐怖组织可以像小强一样坚强,永远不死?美国海军研究所建立了一个数学

Feb.  3rd 广州:10~17℃
宽客网,量化投资,宽客俱乐部
多云

自从“ 911 事件”之后,全世界都因为恐怖组织随时可能发起的恐怖袭击而感到恐怖。许多国家派出维护正义与和平的精锐部队,希望借助强大的军事力量把恐怖组织赶出地球,就像美军在阿富汗做的那样。然而历经十多年,烧钱无数,死人无数,胜仗无数,也没有谁根除了恐怖组织。

为什么恐怖组织可以像小强一样坚强,永远不死?美国海军研究所建立了一个数学模型试图解决这个问题。让我们来看看他们是怎么说的。

误伤让恐怖组织获得增援故事开始前,有必要说明的是,战争牵扯到方方面,天时、地利、人和以及政治因素都对战争有着举足轻重的影响。这只是 一个简化的数学模型 ,不过我们都知道,研究总是从基础模型开始的。

在这个模型里,研究人员把对阵的双方简化成了恐怖分子和政府军两方。双方的攻击效率并不一样。政府军的情报都是透明的,所以恐怖分子可以进行精确的攻击。他们消灭政府军的效率直接正比于人数;相比而言,政府军的围剿就没那么有效,他们造成的伤害只有一部分能打到恐怖分子头上,剩下遭殃的就是普通市民。也就是说,政府军的攻击存在误伤,误伤会引起普通市民的愤怒和仇恨,一部分这样的人因此转变为恐怖分子,从而使得恐怖组织人数增加,获得了增援。而政府军这一方的人员数量增补速率则被认为是固定的。

很容易看到,问题关键在于政府军打恐怖分子的效率到底有多高,也就是误伤率会有多大。在这里模型引入了一个情报源的概念。研究认为,毫无情报源的情况下,政府打恐怖分子就只能瞎猫撞死耗子——打中恐怖分子的概率和恐怖分子占人口的比例一样。有了情报源之后,就有一定概率 μ 可以得到准确情报并准确地打击恐怖分子。另外的 1-μ 概率依然只能是瞎猫撞死耗子。

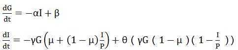
如果我们把恐怖分子和政府军的数量分别设为 I 和 G,把总市民的数量设 P ,设 θ 是加入恐怖分子的人数除以误伤的民众人数。那么恐怖组织和政府军两方人数的关系可以列成一个微分方程:

宽客网,量化投资,宽客俱乐部

注意到这里还有个变量 P ,通常普通市民的数量显然会远远高于另外两组人的数量,因此在这里可以把 P 看成是个常数。

恐怖份子无法全部消灭
宽客网,量化投资,宽客俱乐部

阿富汗反政府武装组织。图片来源:tribune.com.pk

通过解上面的方程,我们可以发些一些有趣的结论。先来考虑两个极端的情况,当情报准确度 μ=1 时,政府军打恐怖分子也能一枪一个准。这种情况就相当于政府军和恐怖分子在战场上真刀真枪对垒。这时根据恐怖分子和政府军的军力不同,要么是恐怖分子压倒政府军,要么是政府军根除恐怖分子。

与之相反,如果情报准确度 μ=0 的话,就好像白色恐怖一样,政府军只会随机抓人。随机抓人也并非完全不可以,不过只在恐怖分子人数比较多的时候比较合适,随着真正的恐怖分子越来越少,误伤的普通民众就越来越多,愤而投恐怖组织的民众也就会逐渐增加。直到恐怖分子的人数小到一定程度,政府军的攻击也就起不到效果了。也就是说,即使政府军的数量非常高,最多也只能将恐怖分子的数量控制在一定程度之内而无法根除。

现实情况是情报准确度在 0 和 1 之间,反恐效果也在这两个极端之间。可以看出,只有情报足够多的时候,政府军才能完全消灭恐怖分子。但是这样说也不全对,研究人员认为,情报准确度 μ 是可能会随政府军人数和恐怖分子人数的改变而改变的,而当恐怖分子的人数趋近于 0 的时候,情报准确度也趋近于 0。这其实很容易理解,人少了找起来自然就像大海捞针。因此即使政府军人数再多,在恐怖分子人数比较多的时候能利用情报优势有效率地消灭他们,当恐怖分子减少的时候仍然不能根除。这正是十几年来,即便美国这样的国家投入近乎全部力量,在阿富汗也没能彻底切除恐怖主义的原因。

但这个研究没有那么完美研究结果多少有些让人沮丧。总体而言,这个模型完全是围绕着情报量展开的,忽略了其他很多因素的影响。例如基地组织在阿富汗对美国的行动很难说是完全出于对民众误伤的报复,宗教狂热也是很重要的原因。但这些因素只会对政府军更为不利。如模型的两位作者Moshe Kress,Roberto Szechtman所说,他们这个模型的目的是说明,即使是在对政府最有利的条件下,他们仍然无法根除恐怖分子。模型最后还有一些对于模型表现的其他一些结论,如在何种状态下会产生僵持的平衡态。但在忽略众多重要因素的条件下,这些定量的讨论其实算不上妥当。模型里最重要的结论只有一条:政府无法根除恐怖分子,是因为随着恐怖分子人数减少,政府军无法获得有效情报,也就无法对恐怖分子进行进一步杀伤。当然,在某些参数条件下,是可以将恐怖分子的势力减少到“几乎等价于完全消灭”的程度的。

可惜的是,这个研究并没有引述什么实际的数据。毕竟,情报准确度,特别是情报准确度的变化是一个很难估计的数字。但是我们还是可以根据研究中的一些参数估计找一点简单的结论。模型中对于民众对误伤的敏感度 θ 的估计是10——也就是说政府军每误伤 1 个人就会有 10 个人加入恐怖分子。在这种条件下,想要根除恐怖分子所需要的情报量 μ 就至少要等于 10/11,也就是 90% 以上。据说塔利班初建立的时候只有 800 人,而阿富汗人口是 2800 万。想在这个人口数目里抓出不到 1000 人的恐怖分子而且还要把误伤控制在 10% 以内,这到底有多难看看美军在阿富汗的处境我们就知道了。

参考资料: Why Defeating Insurgencies Is Hard: The Effect of Intelligence in Counterinsurgency Operations

End.
金融工程, 数学算法