数学到底有什么用?这几乎是一个被问烂了的问题。物理化学航空航天机械电子……从理论到应用,每个角落都能看到数学的身影。但是你可能不知道,数学在解决日常生活中的一些问题时也可以有各种妙用。这些“妙用”看上去甚至有些不正经和非主流,不过谁又规定数学家一定要时刻都正经?数学也可以很娱乐,来看看这群人都是怎么玩的吧。
雾里看花,都是美女?

图片来源:funcracker.com
相传深度近视超过700度的人摘下眼镜后放眼望去满大街都是帅哥美女。那平时注意保护视力的的同学们就没有办法享受到这种福利了么?没关系,两盅小酒下肚之后也有同样的效果。据 BBC 新闻报道,英国曼彻斯特大学的研究人员们发现,在朦胧的醉眼中,所有人都真的会“看上去很美”(这似乎从另一方面给“酒后乱性”提出了一种解释)。
研究表明,摄入的酒精含量的确能影响人们的审美。除此之外,例如光线、你与目标人物的距离甚至空气质量等其他环境因素也会有较大影响。研究人员据此开发出一个公式,用于估算这些因素综合起来对酒鬼们的审美影响度:

β 就是我们需要计算的环境对审美的“影响因子”。如果这个结果不超过 1,说明你还处于头脑清醒的状态,酒精什么的对你的火眼金睛毫无影响;如果这个结果超过50,那么你眼中的世界就是被 PS 过美化后的效果;如果这个指数突破了 100 大关,你会发现,原来世界如此美好。
那算式右边那些参数又表示什么意思? An 就是我们讨论的主角:人体摄入的酒精量,一杯啤酒可以认为是 1 单位以方便计算。 S 表示当时房间里的空气质量,分为11个不同的等级,从 0(空气清新)到 10(烟雾缭绕)。 L 是表示房间的照度,(普通房间亮度为 150坎德拉/平方米)。 V 0 表示你的视力,正常视力的情况下取值为 1,中度近视可取 1/2。而 δ 则表示你与“目标”之间的距离,单位是米。
从上面的表述中我们能看到,研究人员仅仅是把这些影响因素划分成几个等级,比如把酒精的作用划归为啤酒杯数(实际上每个人酒量不同,不同种类的啤酒度数也会不同)。所以根据这个最终得到的结果并不精确,只能表示一个大概的综合效果。不妨让我们试着来计算看看。
假设你视力良好,坐在一个空气清新光照充足的酒吧里,刚刚一杯啤酒下肚,再看半米之外的某人,受到环境的影响综合起来是:

这个结果说明你慧眼如炬,没有什么能蒙骗你的眼睛。
但假如你略近视,酒吧里刚关了几盏灯而且烟雾缭绕,同时你还被灌下了8大杯啤酒,那么距离 3 米之外的世界在你看来会是什么样的呢?

好吧,世界将会变得无比美好。
恐怖片是怎样炼成的

图片来源:twistedhauntedhouse.com
我们常常看到,一部大投资大制作的恐怖片一点都不恐怖,被观众当做喜剧片看,反而是一些小成本的 B 级片被奉为恐怖圣典。是什么让一部恐怖片显得惊悚,是紧张的气氛、未知的异形还是血腥的场面?英国国王大学的研究成果表明,这些都是一部成功的惊悚片中必不可少的要素。根据BBC消息,为了提炼出惊悚片中让人觉得恐怖的元素,这些研究人员花了 2 周时间观看了各类恐怖片(喂这根本是偷懒吧),总结出影片中的悬疑、真实性和血腥程度是影片成功的法宝。
悬疑是一部惊悚电影成功的关键,所以如果某部惊悚片中含有追逐场景、神秘符号、幽闭镜头甚至仅仅是渐强的背景音乐都能给一部电影大大加分。另一方面,一部好的电影也要注意真实与虚构的平衡。除此之外,观影环境对电影的吓人效果也有影响,在阳光明媚的房间里和一群朋友一道观看恐怖片最后很可能转化为一群人边看电影边互相嬉闹,至少也可以互相照应减少心中产生的恐惧。
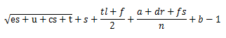
为说明他们的观点,综合上述因素研究人员给出了如下的计算公式来量化表示一部电影的恐怖程度:

其中 es 表示渐强的背景音乐, u 表示影片中的未知元素,cs 意味着有追逐场景而 t表示令人有幽闭感。 S 表示令观众震惊的内容, tl 与 f 则代表电影中真实与虚构的成分。 a 表示剧中有角色独处, dr 表示电影的阴暗程度而 fs 表示影院氛围。 b 表示有血腥场景, n 为与你一道看电影的人数。当某个元素在一部电影中出现时,表示它的变量就取 1 否则取 0。最终算出的结果就能大致反应出一部恐怖片的恐怖程度。比如,电影《闪灵》在这种标准下就被算出是最恐怖电影之一。这当然是个有意思的研究,虽然不能帮我们选电影,不过好歹也定义了理科生的观影体验不是,或许可以用来写影评呢。
如何打造完美臀型

图片来源:mathfail.com
爱美之心人皆有之,数学家们也不例外,他们从来没有停止对美的追求以及探索。曼彻斯特城市大学的研究人员们就致力于研究什么样的臀部曲线才更能吸引男人的目光,他们得到的结论是也可以用一个公式来表示:

其中 S 表示总体的形状, C 表示浑圆程度,B表示弹性, F 表示紧致度而 T 表示“质感”,这些参数取值都介于 1 到 20 之间。最后通过比较计算结果和臀围与腰围之比 V,就可以得到臀部迷人程度的结果。在BBC所做的一项在线调查中,恰好符合这一模型的澳大利亚女艺人凯莉?米洛(Kylie Minogue)甚至超越詹妮弗?洛佩兹大获全胜。
编辑的话我们在各大新闻网站上都看到过对这几个研究的介绍和报道。但是很遗憾,却并没找到第一手的研究资料或者论文,这些研究并未公开发表过。因此对于它们的正确性和靠谱程度也就无从知晓了。上面的研究更多的意义更像是娱乐,我们希望通过介绍这些有趣的东西说明一点:数学并没有多严肃,也可以很娱乐。在一些我们所不知道的地方,它说不定就能大放光彩。
via:果壳网
金融工程, 数学算法