有严重缺陷的风险指标
作者:Scot Billington, RobMatthews
编译:赵晔
理解风险在金融和投资领域是至关重要的。投资者需要知道伴随各种投资项目的风险,从而了解未来事件(尤其是损失)发生的概率,并根据不同风险回报的概况,分析这些彼此竞争的投资项目。
金融从业人员和学者们运用统计学的方法,根据资产过去价格的走势建立风险模型。他们中的大多数是用标准差代表投资风险。具体而言,在大多数情况下,一个投资项目的历史收益的标准差被用来定义“风险”。举个例子说,夏普比率是基于风险对资产的预期收益率进行调整,就使用了收益标准差作为风险度量。另外一个例子就是在现代投资组合理论和有效边界问题中,它的目标是找到最优资产配置(比如说,组合的权重),使得这个投资组合在预期的一定的回报水平下风险最小,又一次地风险被定义为全部组合收益的标准差。
在严格的统计学定义下,标准差衡量了随机数偏离平均数的程度。举例说,一个无穷数列,2%,2%,2%,…. 2%,它的平均数是2%,标准差是0(因为没有任何数偏离平均数)。同样的一个无穷数列-2%,-2%,-2%,…,-2%的标准差也是0因为没有任何一个数偏离平均数。另一方面,收益数列0%, 4%, 0%, 4%, .…, 0%, 4%的平均数也是2%,但是其标准差是2而不是0,因为有偏离平均数。数列1%,3%, 1%, 3%, …., 1%, 3%的平均值同样为2%,但是有较小的标准差(1),因为每个数偏离2%的程度比0%,4%数列小。因此,我们可以看到标准差是一个用来衡量伴随随机数“价差”多少的数字。
但是标准差真的是一个衡量金融风险“好的”指标吗?我们开始探索这个问题,但是首先我们必须问自己,“风险”在金融的世界里到底是什么?我们定义金融风险(也可以说是“风险”)如下:金融风险被定义为在一定时间内,失去特定数量资金的概率。
有了风险的定义,我们可以进行一个标准差在过去预测效果如何的系统性研究。我们将会描述实验的步骤和测试,提供基础测试的结果,以及在不同时间区间进行基础测试的延展性研究。
研究过程
研究中的实验细则是基于确定标准差有多精确地预测历史风险。因为我们定义风险为在特定时间内(Y)损失一定数量(X)的概率,因此检测精确度的实验也很直接。我们可以基于一个资产的历史标准差预测在给定时间内一定量的损失的概率。然后我们可以确定这些损失的频率是否像预测的那样。
这就好比回顾天气预报称10%的机会下雨时第二天真正下雨的频率。假设在过去五年,预测第二天下雨的可能性为10%的情况发生过200次。现在想象在这段时间内真正下雨只有20次----10%的准确率。那么在这个案例中,天气预测员从历史上看是很精确的。如果换做下雨30天,概率是15%,那么他就是不准确的。我们可以说在这种情况下他不够保守,因为事实上下雨的次数与预测值的比率为1.5(30/20)。如果事实上只有5天下雨,他是不准确的,但是是保守的,因为实际下雨与预测值的比率现在是0.25。
我们研究中发现,标准差就像这个天气预测员;但不同于预测天气,我们可能预测可口可乐(KO)的股票在三个月内损失达到20%的可能性为有5.6%,或者黄金期货下个月有22%的可能性损失超过10%。我们的目标是看到这些预测是否精确。标准差有没有高估或者低估损失的概率?
我们选择49个市场作为研究对象,包括股票、固定收益证券、新兴市场、大宗商品、对冲基金和期货管理基金。
历史月度收益数据被用来预测资产的标准差,被用作预测在一定时间区间内,遭遇一定量损失的概率。
这个预测值被用来与实际损失相比,确定标准差预测风险的精确度。我们分别检验了时间区间为1,3,6,9和12月以及损失为10%, 20%, 30%, 40%及50%时的情况。
结果
下图“Measuring STD DEV”显示了这个研究的基本结果。图示在各种时间区间里不同损失程度的实际值与预测值的比率。举个例子,在一个月的时间区间内,损失10%或者更多的情况实际发生的概率是预测值的0.87倍。也就是说,在这个案例中,标准差预测风险的模型有点偏保守,因为这种水平的损失实际发生的频率低于预测值。

现在看一下在12个月内损失水平为50%的情况。我们看到这个比率为0.99,表明了在12月的时间区间内,损失至少为50%的情况发生的实际频率与预测值完全吻合(数值为1被认为是完美的预测市场)。
从这个结果中马上看出其他两个发现:一个是,标准差风险模型的预测准确程度根据损失级别的不同和时间区域的不同而不同,从温和保守到非常激进;另外,在特定时间区间内,标准差风险预测逐渐低估损失程度,损失程度的精确度和保守程度也随着时间范围的收窄而逐渐减弱。
这个趋势对风险经理们来说很明显是个不容忽视的问题。显然,那些可以通过标准差被精确计算的风险--这些损失很小而且时间跨度很长--反而对投资者来说不是特别担心的。更可怕的是那些灾难性的和突然发生的损失被标准差严重低估。
我们经常听到这样一个故事: 2009年全球金融危机致使很多市场处于恐慌之中。我们“Measuring STD DEV”的数据覆盖了1985-2013年年间,因此也包括了这次金融危机期间。这使我们思考了更多问题:
“Measuring STD DEV”中展示的趋势是否是伴随着2007-2008年事件的偏差?标准差在“正常”时间内是一个不好的度量风险的预测指标吗?
这种趋势在不同的资产和投资方式中是保持一致吗?
如果大量的短期损失的是那些经常被低估的,有没有一些投资方式可以避免这种损失发生?
单从历史表现来看,一个分配决策能否决定哪种投资对于这种损失更容易受到影响?
回答这些所有的问题已经超过了本文的研究范围,但是我们以这个为起点开始探索。首先,我们来看标准差不能完全度量风险的趋势在2008年全球金融危机之前是否就已经存在。
危机之前的研究结果
我们观察了1985到2005年间,市场在1,3,6,9,12月跨度期间的移动以及损失水平在10%到50%之间的情况。“Sanscredit crisis”(如下)显示了被低估的短期大型损失仍然存在,在一个月损失50%以上的频率“仅仅”比我们之前的估算多61倍。我们可以看到前一栏的结果并没有因为全球金融危机产生很大的偏差。相同的趋势在2005年前的20年内一直存在。尽管在危机期间各种标准差大损失风险低估的严重程度是非常明显的,但标准差依然是一个预测大损失发生概率的较差的指标。

结论
在这项研究中,我们评估了标准差作为一个风险衡量指标的精确度---风险被定义为在给定时间内损失一定资金量的发生概率。我们使用了自1985年开始的49个市场里在一系列产品的月度市场数据。之后,我们比较了真实发生损失的频率和用标准差衡量预测风险发生的概率。
研究发现总结
根据不同特定时段和不同的损失程度,标准差估算的风险从相对保守到高度激进。
数据显示,随着时间段收窄、损失水平扩大,风险估算变得越来越激进。
这种低估大损失的情况尤其在较短的时间区间内,从我们研究数据的开始时间1985年就存在了,不能只归因于全球信用危机。
以当前案例,这个课题绝对值得更深入研究。之后研究可以考虑扩大市场范围和延伸时间段选择。
当然也有可能,一些损失在50%或更多的投资产品在此次研究开始之前已经退出市场(也就是幸存者偏差)。因此,追溯到更远时间区间、用更广泛的数据重复这项研究也将是非常有意思的。通过市场类型或者交易风格比如主动型或被动型将市场归类,运用与之前相同的分析方法比较。
有没有一种方法可以提供标准差之外的信息从而优化我们对于风险的理解或者评估?将此类研究延伸到其他常用的统计风险衡量指标比如downside deviation 或者VaR,看这些指标是否改善了标准差的缺陷也将是很有意义的?
ScotBillington 是Covenant资产管理公司(CCM)的联合合伙人,他是一个管理客户资产超过15年的商品交易分析师。Rob Mattews是CCM的研究所所长Covenantcap.com.
补充选项:分析步骤详解
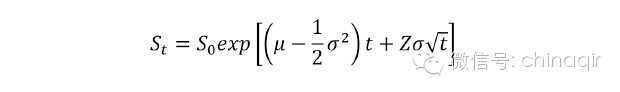
单用标准差不能作为某项资产损失概率的衡量指标,这个必须代入市场模型。几何布朗是通常被金融从业者用来转换收益标准差到风险损失的常用工具。这个模型假设在t时间资产价格为:

St 是t时间的资产价格,S0 是0时刻的资产价格。μ 和 σ 是资产的漂移指标及标准差。Z是标准正态分布随机变量。所以St 资产价格是统计学重复而不是被计算出来的。我们可以通过先求解Z转化这个模型,成为在特定时间特定损失发生的概率。

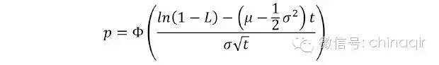
我们用(1-L)替换(St / S0),其中L是我们关注的损失,比如说,40%损失(L=0.4)意味着(1-L)=0.6,等同于(St/ S0),t时刻的价格St是初值价格S0 的60%。我们把正太随机变量Z替换为Φ-1 (p)标准正态累积分布函数的反函数作为概率p

我们可以算出概率p

观测到在特定时间范围内给定市场漂移指标μ和标准差σ,损失L或更多的概率。
因为我们只关注对标准差的估算,所以分析中我们设置漂移指标μ为0;相对应的,我们也调整了被研究的所有市场的实际收益的相关数据,使得从历史的角度来看长期漂移也为0。来源:《Futures》
转载自:CHINAQIR
交易技术, 交易策略
风险提示及免责条款
市场有风险,投资需谨慎。本文不构成个人投资建议,也未考虑到个别用户特殊的投资目标、财务状况或需要。用户应考虑本文中的任何意见、观点或结论是否符合其特定状况。据此投资,责任自负。本文来自互联网用户投稿,文章观点仅代表作者本人,不代表本站立场。本站仅提供信息存储空间服务,不拥有所有权,不承担相关法律责任。如若转载,请注明出处。如若内容有涉嫌抄袭侵权/违法违规/事实不符,请点击 举报 进行投诉反馈!
